Free Access
Fig. A.10.

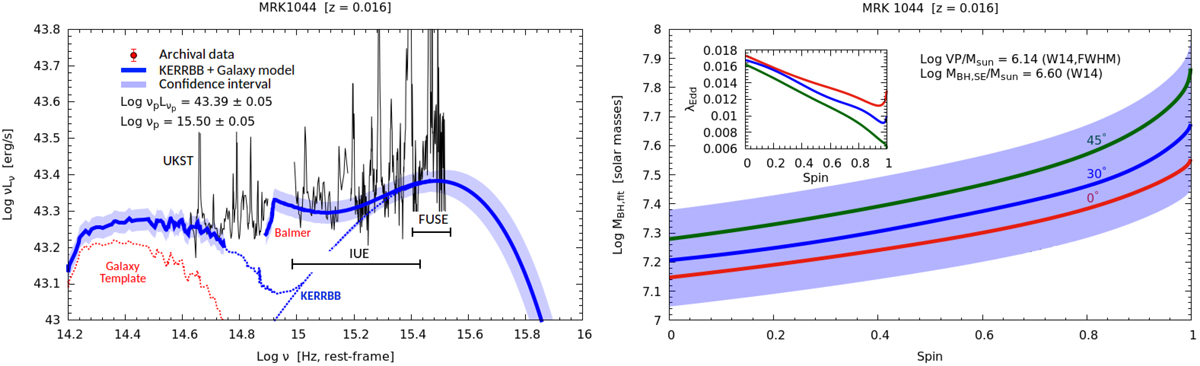
Fit of the source MRK 1044. The quality of spectroscopic data is low but nonetheless the fit was rather satisfactory. The Balmer continuum is shown in order to visualize the rise in the spectrum at Log ν/Hz ∼ 15.
Current usage metrics show cumulative count of Article Views (full-text article views including HTML views, PDF and ePub downloads, according to the available data) and Abstracts Views on Vision4Press platform.
Data correspond to usage on the plateform after 2015. The current usage metrics is available 48-96 hours after online publication and is updated daily on week days.
Initial download of the metrics may take a while.