Free Access
Fig. A.15.

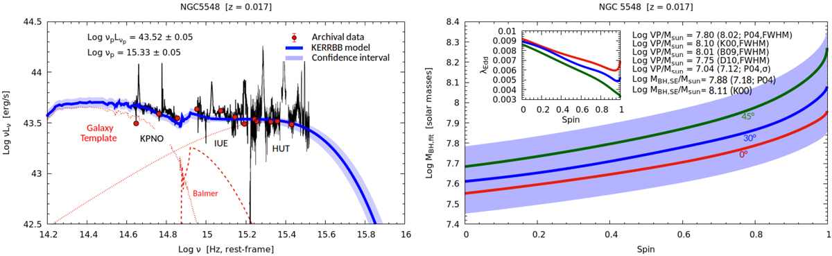
Fit of the source NGC 5548. Balmer continuum added to obtain a better visualization of the best fit. IUE, HST, and HUT data were smoothed in order to have a clearer spectrum. Other BH mass estimates are from De Rosa et al. (2018) (Log VP(σline)/M⊙ = 6.74 ± 0.06) and Kollatschny & Zetzl (2013) (Log M/M⊙ = 7.83).
Current usage metrics show cumulative count of Article Views (full-text article views including HTML views, PDF and ePub downloads, according to the available data) and Abstracts Views on Vision4Press platform.
Data correspond to usage on the plateform after 2015. The current usage metrics is available 48-96 hours after online publication and is updated daily on week days.
Initial download of the metrics may take a while.