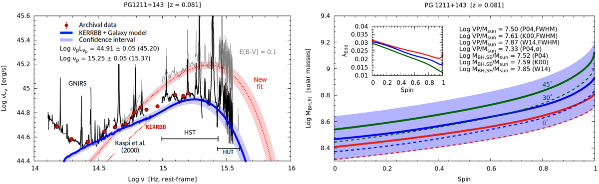
Fig. A.22.

Fit of the source PG 1211+143. For this source, the first satisfactory fit (blue line) is given by KERRBB+host galaxy. The spectrum rise at Log ν/Hz < 14.5 is caused by the IR emission of the dusty torus. Assuming an intrinsic reddening of the source (corrected by assuming E[B − V] = 0.1 mag), the new fit (red line) describes the AGN continuum for Log ν > 14.8, with no need for the host-galaxy emission. Right panel: thick and dashed lines correspond to the first and second fits, respectively (blue and red lines on the left panel, respectively).
Current usage metrics show cumulative count of Article Views (full-text article views including HTML views, PDF and ePub downloads, according to the available data) and Abstracts Views on Vision4Press platform.
Data correspond to usage on the plateform after 2015. The current usage metrics is available 48-96 hours after online publication and is updated daily on week days.
Initial download of the metrics may take a while.