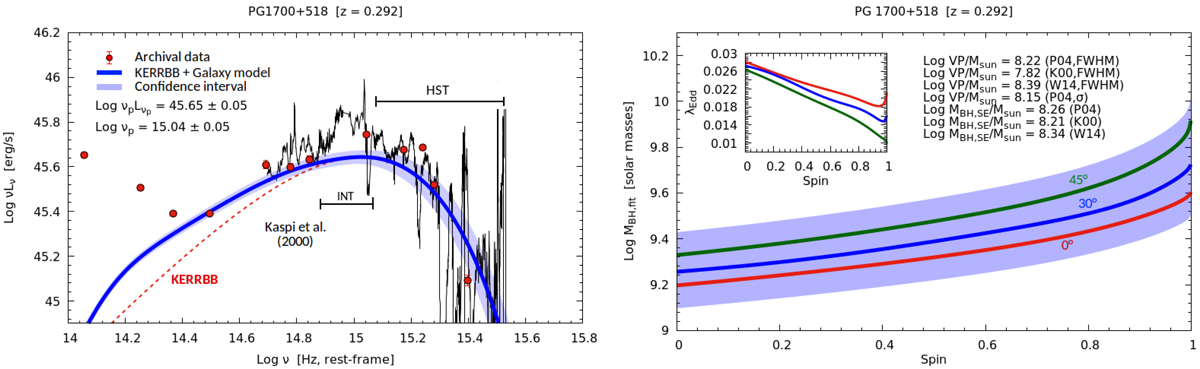
Fig. A.26.

Fit of the source PG 1700+518. The quality of spectroscopic data at large frequencies is low; we predicted a mass larger by a factor of ∼10 with respect to RM and SE. Dust absorption could be the cause of the decreasing flux at Log ν/Hz > 15. We added the galaxy emission to the fit in order to obtain a better description of the optical continuum.
Current usage metrics show cumulative count of Article Views (full-text article views including HTML views, PDF and ePub downloads, according to the available data) and Abstracts Views on Vision4Press platform.
Data correspond to usage on the plateform after 2015. The current usage metrics is available 48-96 hours after online publication and is updated daily on week days.
Initial download of the metrics may take a while.