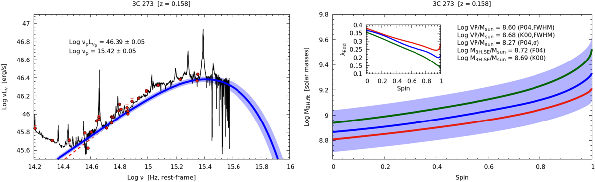
Fig. A.1.

Fit of the source 3C 273. Other recent BH mass estimates are from Sturm et al. (2018) (Log ) and Zhang et al. (2019) (Log
). On each of the following plots, we label different BH mass estimates (VPs computed using the σline and FWHM), and SE estimates computed using the equations of Vestergaard & Peterson (2006) and line data from different works: K00 for Kaspi et al. (2000); P04 for Peterson et al. (2004); G12 for Grier et al. (2012); B09 for Bentz et al. (2009); W14 for Wang et al. (2014); B14 for Bentz et al. (2014); D10 for Denney et al. (2010); T14 for Trevese et al. (2014); K07 for Kaspi et al. (2007).
Current usage metrics show cumulative count of Article Views (full-text article views including HTML views, PDF and ePub downloads, according to the available data) and Abstracts Views on Vision4Press platform.
Data correspond to usage on the plateform after 2015. The current usage metrics is available 48-96 hours after online publication and is updated daily on week days.
Initial download of the metrics may take a while.