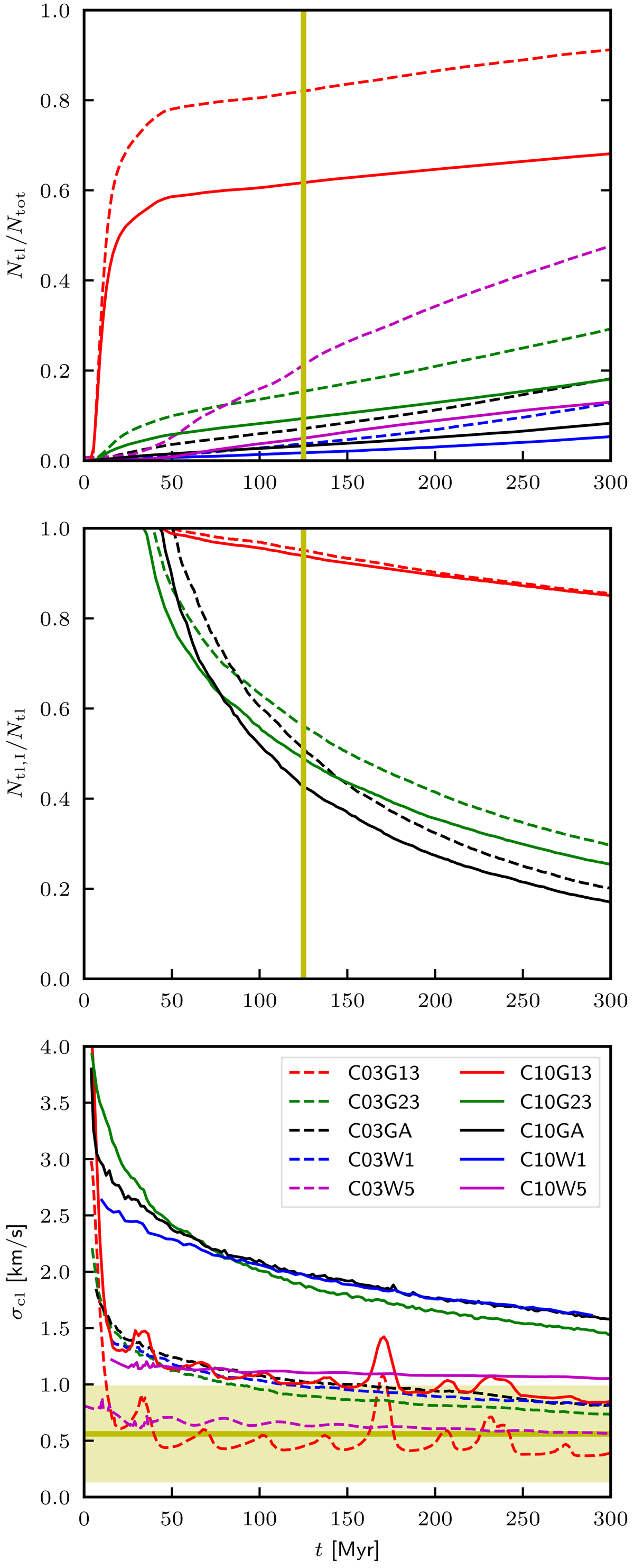
Fig. 6.

Upper panel: fraction of all stars in the tail, Ntl, normalised to the total number of stars, Ntot, as a function of time. The results for lower mass and more massive clusters are shown by dashed and solid lines, respectively. The age of the Pleiades is indicated by the vertical yellow line. Middle panel: fraction of the tail stars Ntl, I/Ntl which belong to tail I. Lower panel: time dependence of the velocity dispersion σcl for stars within the star cluster. The observed velocity dispersion for the Pleiades and its 1σ error according to Raboud & Mermilliod (1998) is indicated by the horizontal yellow band.
Current usage metrics show cumulative count of Article Views (full-text article views including HTML views, PDF and ePub downloads, according to the available data) and Abstracts Views on Vision4Press platform.
Data correspond to usage on the plateform after 2015. The current usage metrics is available 48-96 hours after online publication and is updated daily on week days.
Initial download of the metrics may take a while.