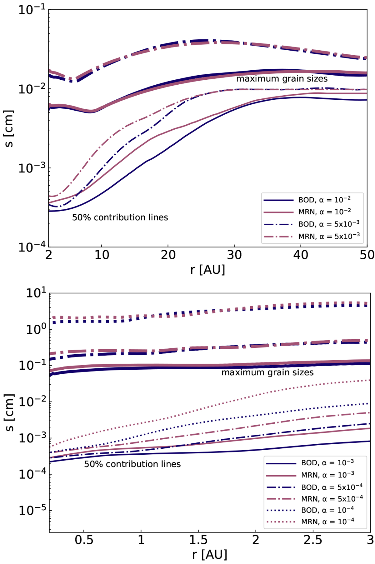
Fig. 10

50% contribution lines as a function of orbital distance for the discs with the high α values at the top and the low α values at the bottom. The group of thicker lines at the top corresponds to the maximum grain sizes of each disc so that the 50% contribution lines below divide the grain sizes into two groups, which contribute equally to the total opacity of the disc (see the red lines in Fig. 8). The difference between the two grain size distributions is small. As α-viscosity decreases, the maximum grain size increases, and more influence to the total opacity comes from larger grains.
Current usage metrics show cumulative count of Article Views (full-text article views including HTML views, PDF and ePub downloads, according to the available data) and Abstracts Views on Vision4Press platform.
Data correspond to usage on the plateform after 2015. The current usage metrics is available 48-96 hours after online publication and is updated daily on week days.
Initial download of the metrics may take a while.