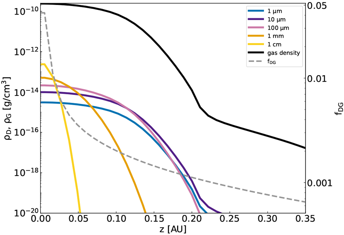
Fig. 4

Dust density as a function of height for grains of five representative grain sizes within a disc with the BOD, α = 10−4 and Σg,0 = 1000 g cm−2, at 3 AU. The black line shows the gas density of the disc. The dashed gray line shows the dust-to-gas ratio as a function of height for the whole grain size distribution. The dust-to-gas ratio of the smallest particles of the sample remains constant, but as grains get larger they get more affected by settling. Consequently, the largest grain (1 cm) is mostly concentrated at the midplane.
Current usage metrics show cumulative count of Article Views (full-text article views including HTML views, PDF and ePub downloads, according to the available data) and Abstracts Views on Vision4Press platform.
Data correspond to usage on the plateform after 2015. The current usage metrics is available 48-96 hours after online publication and is updated daily on week days.
Initial download of the metrics may take a while.