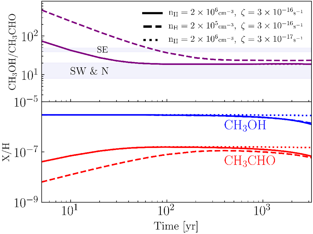
Fig. 6

Time evolution of abundances of methanol in blue and acetaldehyde in red (bottom) and their ratios in purple (top) for the same injected methanol abundance, 3 × 10−6, and ethyl radical value, 3 × 10−7. The different line styles correspond to models run with different conditions, as reported in the upper panel legend. The CH3 OH/CH3CHO abundance ratio is constant if both species are directly injected from the grain mantles (see text).
Current usage metrics show cumulative count of Article Views (full-text article views including HTML views, PDF and ePub downloads, according to the available data) and Abstracts Views on Vision4Press platform.
Data correspond to usage on the plateform after 2015. The current usage metrics is available 48-96 hours after online publication and is updated daily on week days.
Initial download of the metrics may take a while.