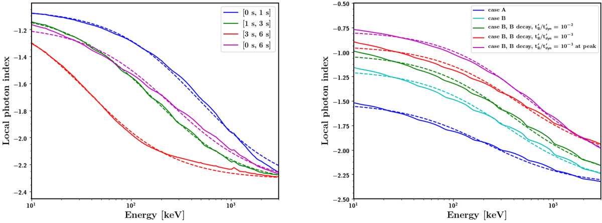
Fig. 2.

Left: least-square fit (dashed lines) of Eq. (10) to the local photon index (thick lines) in the keV-MeV range for the four time intervals of the synthetic burst GRB_B001. Right: least-square fit (dashed line) to the local photon index (solid line) in the keV-MeV range for several synthetic bursts: time integrated spectrum of two reference cases presented in BD14, case A (blue) and B (cyan) with a varying fraction of accelerated electrons and p = 2.7. Case A corresponds to the most standard fast cooling synchrotron spectrum, and case B to a modified synchrotron spectrum affected by inverse Compton scaterring in the Klein-Nishina regime. In addition, preliminary calculation of the same case B taking into account a magnetic field decay in the emission region are also presented (taken from Daigne & Bošnjak, in prep.) with a time scale of the decay (green) or 10−3 (red), where
is the dynamical timescale. Finally, the same case is also shown for a time interval of 0.25 s around the peak of the light curve (magenta).
Current usage metrics show cumulative count of Article Views (full-text article views including HTML views, PDF and ePub downloads, according to the available data) and Abstracts Views on Vision4Press platform.
Data correspond to usage on the plateform after 2015. The current usage metrics is available 48-96 hours after online publication and is updated daily on week days.
Initial download of the metrics may take a while.