Open Access
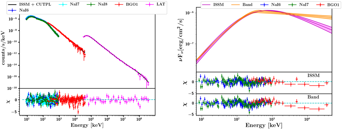
Fig. 4.

Left: fit of the count spectrum of the synthetic burst GRB_B001 with the ISSM + CUTPL model in the time interval [1 s−3 s]. Right: fit of the ISSM and Band models to the GRB 150403913 spectrum oberved by the GBM.
Current usage metrics show cumulative count of Article Views (full-text article views including HTML views, PDF and ePub downloads, according to the available data) and Abstracts Views on Vision4Press platform.
Data correspond to usage on the plateform after 2015. The current usage metrics is available 48-96 hours after online publication and is updated daily on week days.
Initial download of the metrics may take a while.