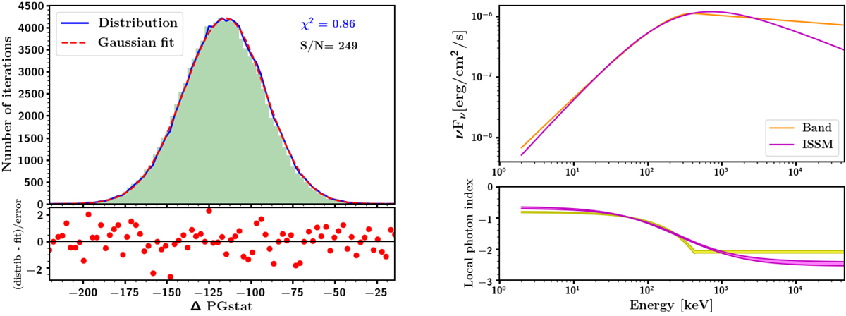
Fig. 6.

Left: fit of an asymmetric Gaussian function to the distribution of Δ PGstat between the Band and the ISSM function for the medium SNR case. Bottom panel: ratio of the difference between the histogram and its fit over the error ( in each bin). Right: spectral energy distribution and local photon index of a representative burst (GRB 150403913) with the Band and ISSM functions.
Current usage metrics show cumulative count of Article Views (full-text article views including HTML views, PDF and ePub downloads, according to the available data) and Abstracts Views on Vision4Press platform.
Data correspond to usage on the plateform after 2015. The current usage metrics is available 48-96 hours after online publication and is updated daily on week days.
Initial download of the metrics may take a while.