Open Access

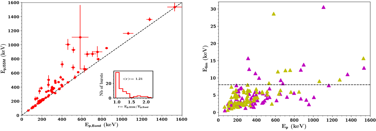
Fig. 7.

image

Left: comparison of the Ep parameter between the Band and ISSM functions. The dashed line is the equality line. The inset shows the ratio between the Ep values obtained by ISSM and Band functions. Right: limit energies Elim of the ISSM and Band functions compared with their peak energies Ep. The horizontal dashed line represents the lower limit of the GBM energy range.

Current usage metrics show cumulative count of Article Views (full-text article views including HTML views, PDF and ePub downloads, according to the available data) and Abstracts Views on Vision4Press platform.

Data correspond to usage on the plateform after 2015. The current usage metrics is available 48-96 hours after online publication and is updated daily on week days.

Initial download of the metrics may take a while.