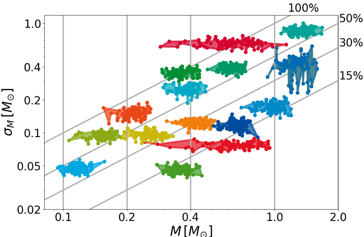
Fig. 8.

Achievable standard error as a function of the input mass for 15 events. The two red events with a wide range for the input mass are white dwarfs, where the mass can only be poorly determined from the G magnitude. The uncertainty is roughly constant as a function of the input mass. The diagonal lines indicate relative uncertainties of 15%, 30%, 50%, and 100%, respectively.
Current usage metrics show cumulative count of Article Views (full-text article views including HTML views, PDF and ePub downloads, according to the available data) and Abstracts Views on Vision4Press platform.
Data correspond to usage on the plateform after 2015. The current usage metrics is available 48-96 hours after online publication and is updated daily on week days.
Initial download of the metrics may take a while.