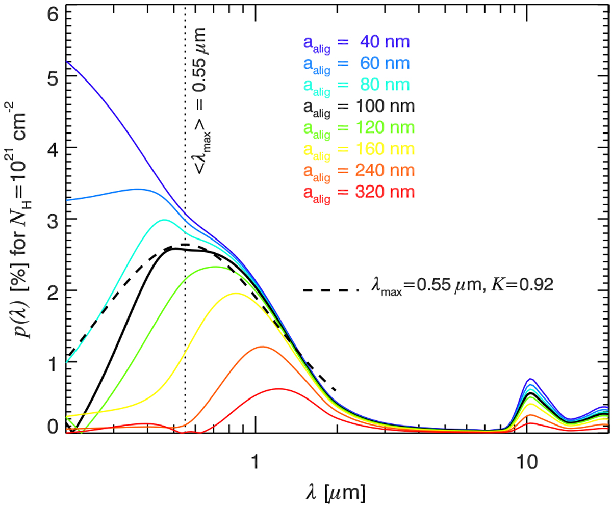
Fig. 2

Starlight polarization percentage for a column density NH = 1021 cm−2, as a function of the wavelength, for increasing values of the alignment parameter aalig. Silicate grains are assumed to be aligned, while graphite grains are not. The dashed curve is the mean polarization curve observed in the diffuse ISM (AV ~ 1), which constrains both the upper limit
of the silicate size distribution and the minimal size of aligned grains aalig. Using our model, it is best fitted in the optical and near-infrared (NIR) for aalig = 100 nm (see Sect. 3.3 for a discussion of the poor fit in the UV).
Current usage metrics show cumulative count of Article Views (full-text article views including HTML views, PDF and ePub downloads, according to the available data) and Abstracts Views on Vision4Press platform.
Data correspond to usage on the plateform after 2015. The current usage metrics is available 48-96 hours after online publication and is updated daily on week days.
Initial download of the metrics may take a while.