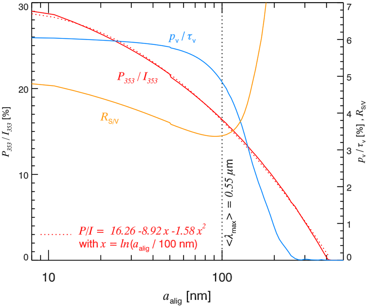
Fig. 4

Left axis: polarization fraction at 353 GHz, P∕I, as a functionof the alignment parameter aalig. Right axis: same for the polarization fraction in the V band pV∕τV and the polarization ratio, RS/V = P∕I∕(pV∕τV). The vertical dotted line indicates the value of aalig needed to reproduce the mean value of the Serkowski’s parameter λmax of 0.55 μm observedin diffuse and translucent LOS. An empirical fit to the dependence of P∕I on aalig is provided for convenience.
Current usage metrics show cumulative count of Article Views (full-text article views including HTML views, PDF and ePub downloads, according to the available data) and Abstracts Views on Vision4Press platform.
Data correspond to usage on the plateform after 2015. The current usage metrics is available 48-96 hours after online publication and is updated daily on week days.
Initial download of the metrics may take a while.