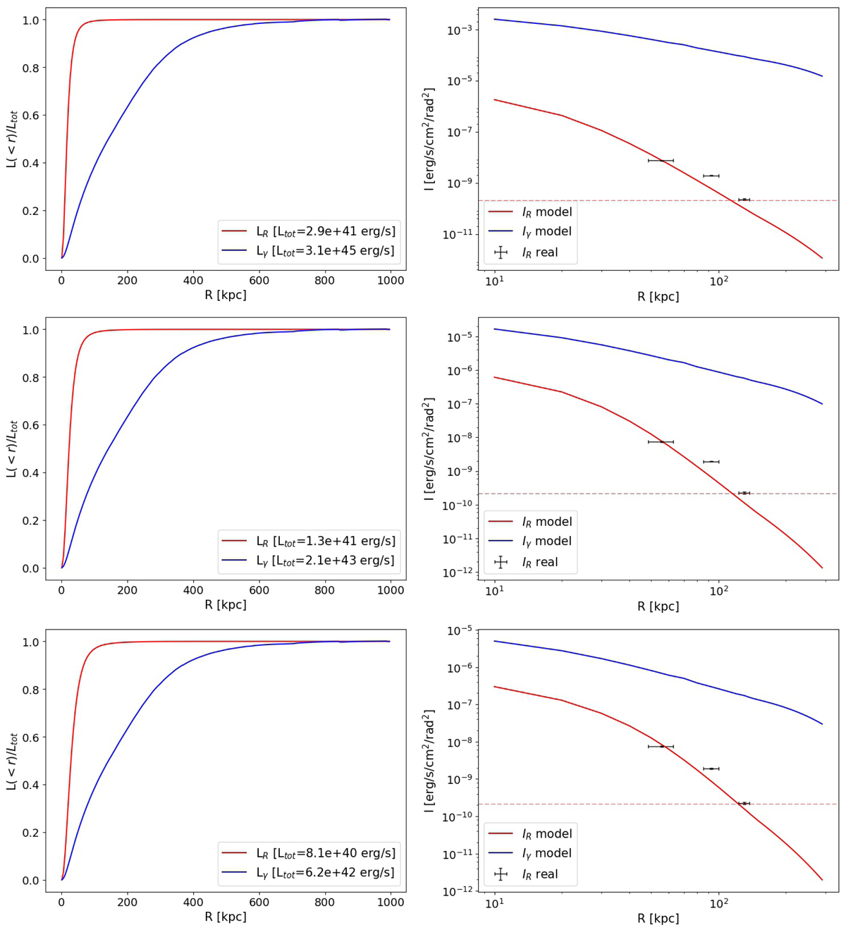
Fig. 5.

Results for RXC J1504.1−0248 with B0 = 1 μG (top), B0 = 10 μG (middle), and B0 = 20 μG (bottom). Left: integrated radio and γ-ray luminosity. Right: radio and γ-ray surface brightness. We report the observed IR profile and the 3σ level of the observation (dashed red line). We limited the profile up to RMH to avoid possible contamination by field sources (see Fig. B.3).
Current usage metrics show cumulative count of Article Views (full-text article views including HTML views, PDF and ePub downloads, according to the available data) and Abstracts Views on Vision4Press platform.
Data correspond to usage on the plateform after 2015. The current usage metrics is available 48-96 hours after online publication and is updated daily on week days.
Initial download of the metrics may take a while.