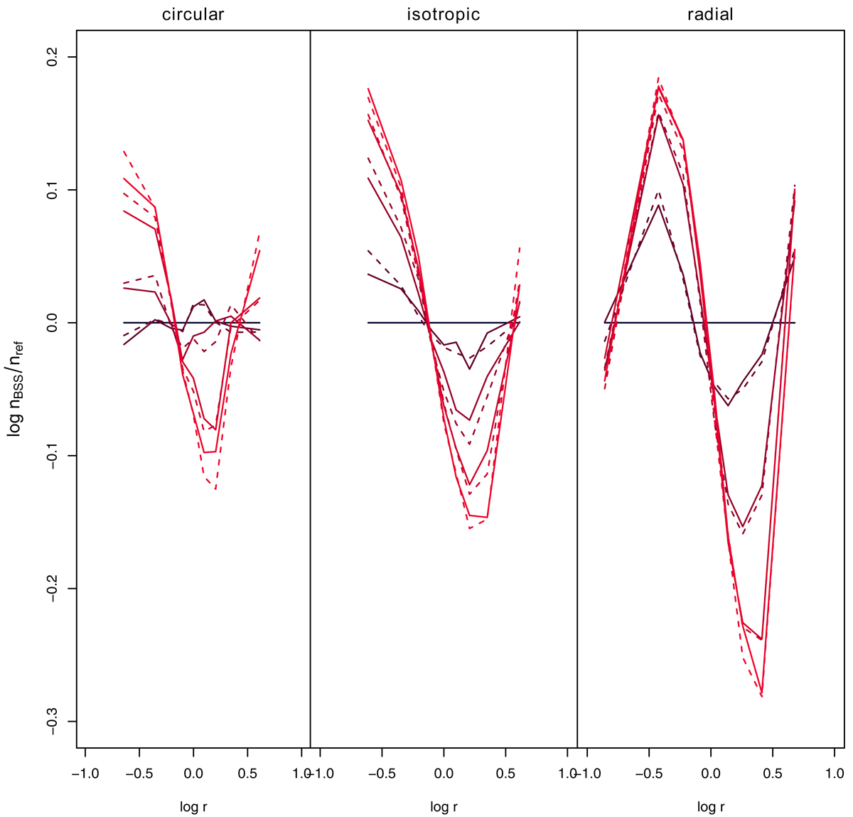
Fig. 2.

Normalized BSS distribution nBSS/nref at t/tc = 0 (black), 500, 5000, 20 000, 50 000, and 80 000 (bright red) for a population of BSS with masses mBSS = 1.5m* (dashed lines) and mBSS = 2m* (solid lines), initially placed on purely circular orbits (left), extracted from a isotropic distribution (centre), and on purely circular orbits (right).
Current usage metrics show cumulative count of Article Views (full-text article views including HTML views, PDF and ePub downloads, according to the available data) and Abstracts Views on Vision4Press platform.
Data correspond to usage on the plateform after 2015. The current usage metrics is available 48-96 hours after online publication and is updated daily on week days.
Initial download of the metrics may take a while.