Free Access

Fig. 6

image

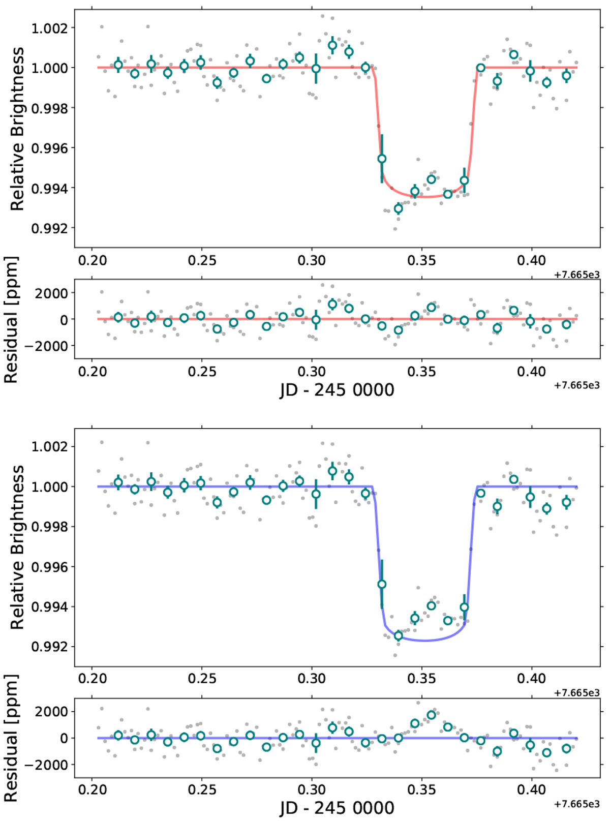
Top panel: detrended light curve of the first isolated transit of TRAPPIST-1g observed by Spitzer with, superimposed in red, the best-fit model resulting from the global per-planet analysis with variations of the transit depth allowed. Bottom panel: similar to top panel but with the best-fit model resulting from the individual analysis assuming a constant depth for all transits superimposed in darkblue.

Current usage metrics show cumulative count of Article Views (full-text article views including HTML views, PDF and ePub downloads, according to the available data) and Abstracts Views on Vision4Press platform.

Data correspond to usage on the plateform after 2015. The current usage metrics is available 48-96 hours after online publication and is updated daily on week days.

Initial download of the metrics may take a while.