Free Access
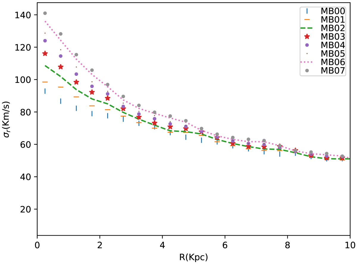
Fig. 2.

Radial velocity dispersion for all MB models with increasing bulge masses. The increasing bulge mass order is from MB00 to MB07; MB00 is without a bulge and MB07 has the highest bulge mass.
Current usage metrics show cumulative count of Article Views (full-text article views including HTML views, PDF and ePub downloads, according to the available data) and Abstracts Views on Vision4Press platform.
Data correspond to usage on the plateform after 2015. The current usage metrics is available 48-96 hours after online publication and is updated daily on week days.
Initial download of the metrics may take a while.