Open Access

Fig. 8.

image

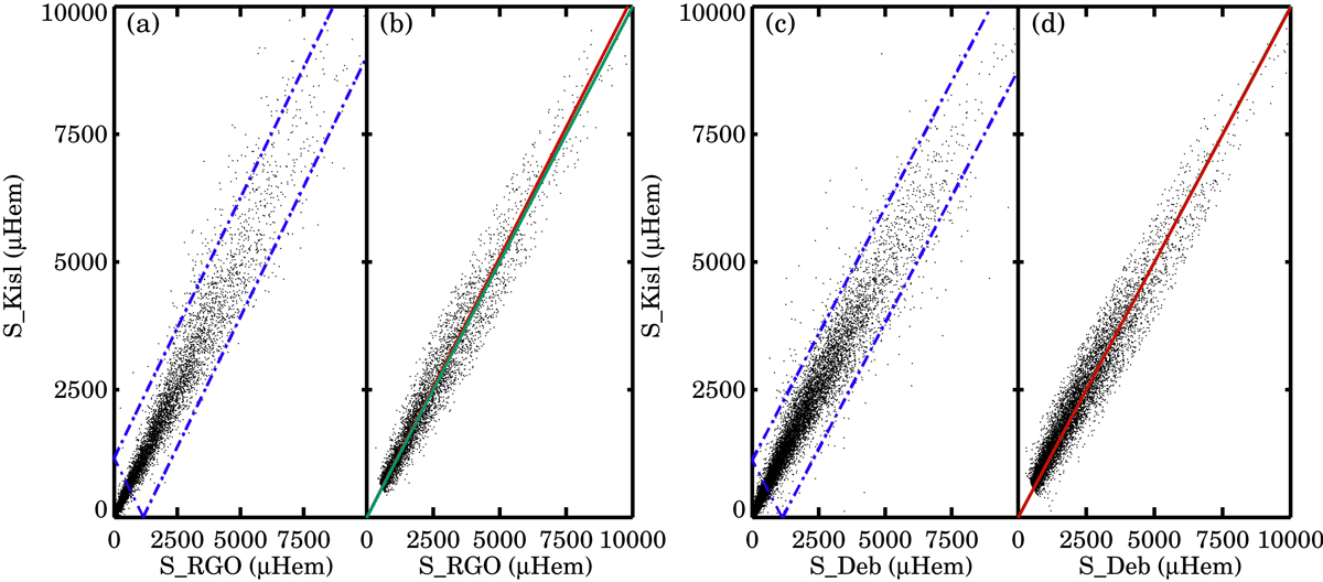
Similar to Fig. 2, but generated using projected area values. Blue dotted lines (in panels a–c) highlight the 3σ boundaries which are used to remove the outliers and bias. Final “cleaned” scatter diagrams are plotted (in panels b–d), along with the best linear fit (red lines) and the 45° slopes (green lines).

Current usage metrics show cumulative count of Article Views (full-text article views including HTML views, PDF and ePub downloads, according to the available data) and Abstracts Views on Vision4Press platform.

Data correspond to usage on the plateform after 2015. The current usage metrics is available 48-96 hours after online publication and is updated daily on week days.

Initial download of the metrics may take a while.