Free Access

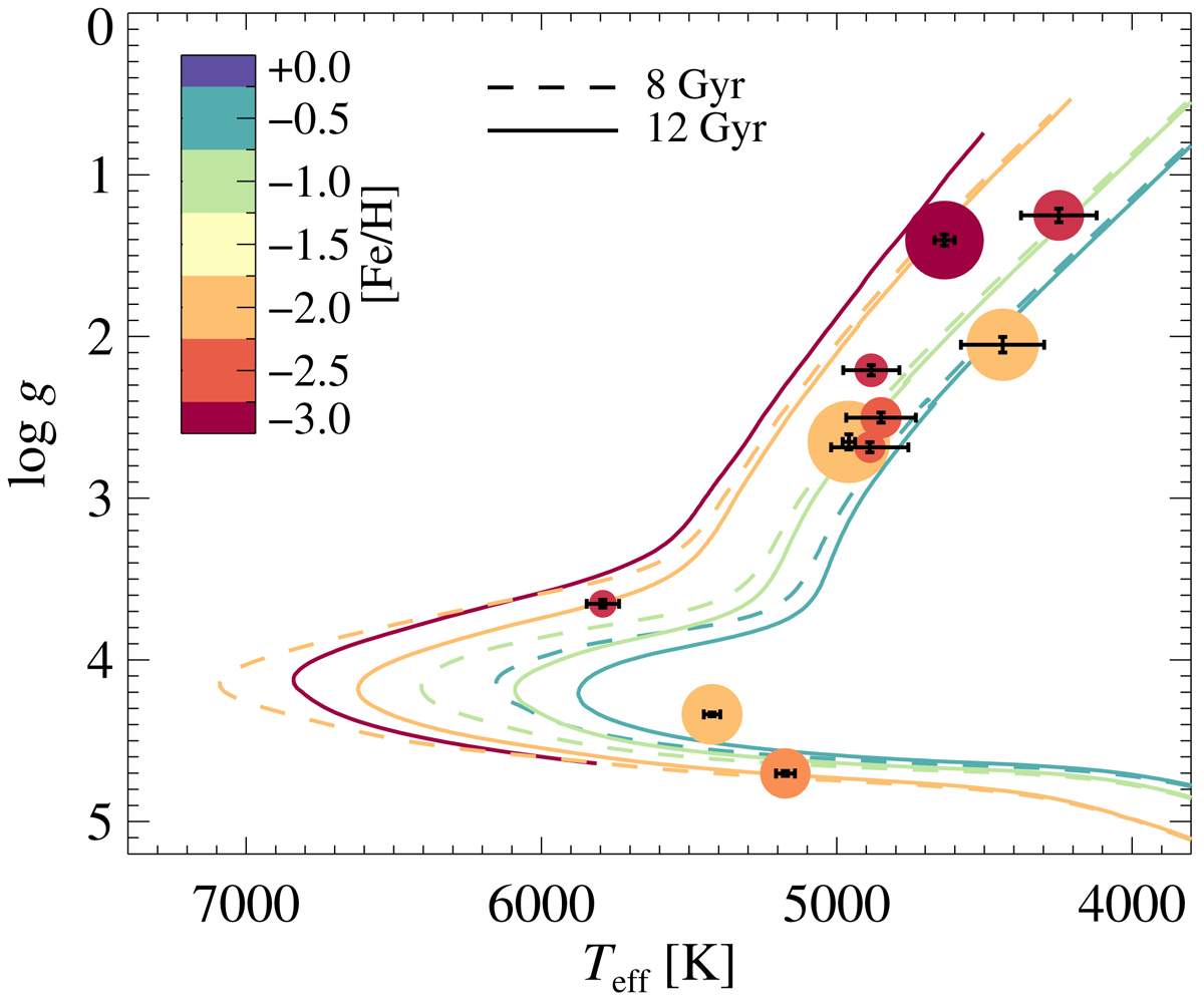
Fig. 1.

image

Stellar parameters of our ten metal-poor stars, colour-coded by metallicity, compared to theoretical Dartmouth isochrones of different ages (linestyles) and metallicities (colours). Formal 1σ uncertainties are shown by the error bars. The symbol size is proportional to the angular diameter of the star.

Current usage metrics show cumulative count of Article Views (full-text article views including HTML views, PDF and ePub downloads, according to the available data) and Abstracts Views on Vision4Press platform.

Data correspond to usage on the plateform after 2015. The current usage metrics is available 48-96 hours after online publication and is updated daily on week days.

Initial download of the metrics may take a while.