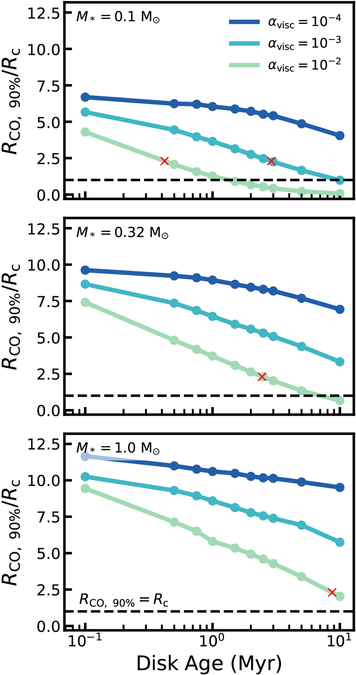
Fig. 4

Ratio of gas outer radius over characteristic radius vs. disk age. The black dashed line shows where RCO, 90% = Rc. Top, middle,and bottom panels: models with various stellar masses (cf. Table 1). The colors correspond to the αvisc of the model. The red crosses denote where RCO, 90%∕Rc = 2.3, that is, where RCO, 90% encloses 90% of the total disk mass (see Sect. 3.4).
Current usage metrics show cumulative count of Article Views (full-text article views including HTML views, PDF and ePub downloads, according to the available data) and Abstracts Views on Vision4Press platform.
Data correspond to usage on the plateform after 2015. The current usage metrics is available 48-96 hours after online publication and is updated daily on week days.
Initial download of the metrics may take a while.