Free Access

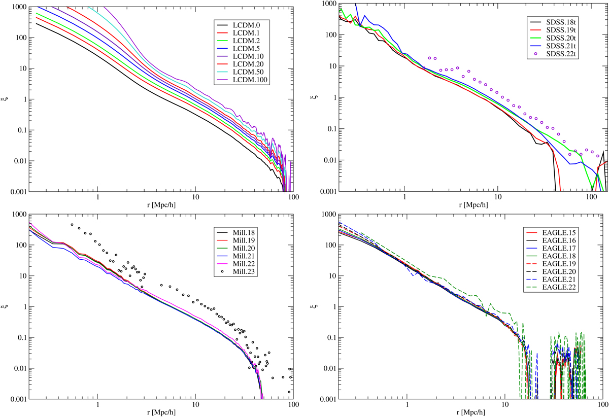
Fig. 1.

image

Correlation functions of galaxies, ξ(r). Panels from top left to bottom right: LCDM models for different particle selection limits; for SDSS galaxies using five luminosity thresholds; for six luminosity bins of Millennium galaxies, and for eight luminosity thresholds of EAGLE galaxies.

Current usage metrics show cumulative count of Article Views (full-text article views including HTML views, PDF and ePub downloads, according to the available data) and Abstracts Views on Vision4Press platform.

Data correspond to usage on the plateform after 2015. The current usage metrics is available 48-96 hours after online publication and is updated daily on week days.

Initial download of the metrics may take a while.