Free Access
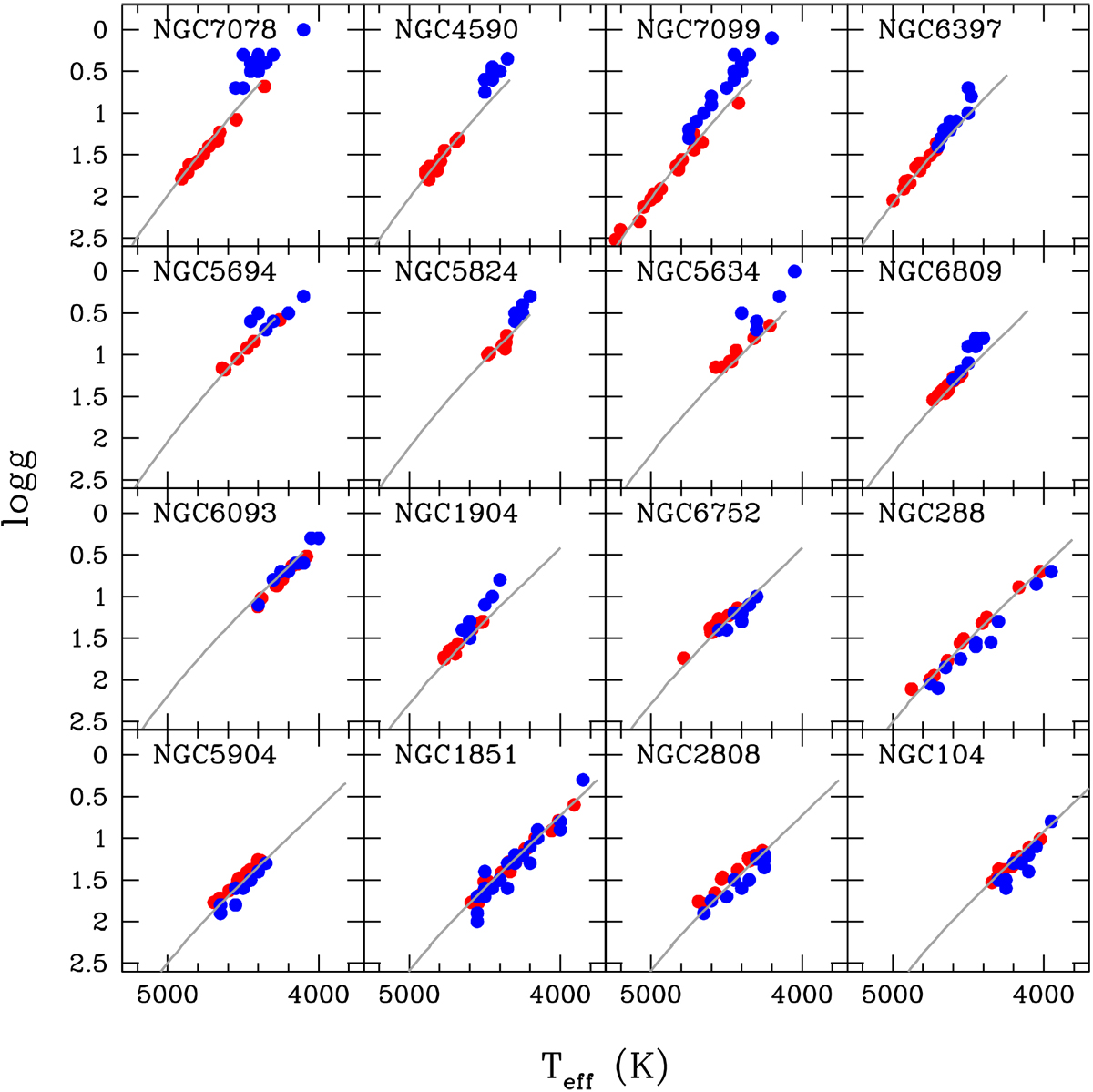
Fig. 5

Behaviour of log g as a function of Teff for all the target clusters (sorted by increasing metallicity); blue points are the spectroscopic parameters and red points the photometricones. For each cluster the corresponding best-fit DARTMOUTH theoretical isochrone is shown (grey solid line).
Current usage metrics show cumulative count of Article Views (full-text article views including HTML views, PDF and ePub downloads, according to the available data) and Abstracts Views on Vision4Press platform.
Data correspond to usage on the plateform after 2015. The current usage metrics is available 48-96 hours after online publication and is updated daily on week days.
Initial download of the metrics may take a while.