Free Access

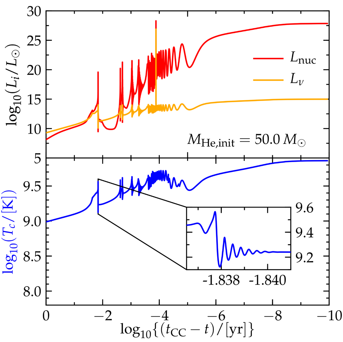
Fig. 3.

image

Last year of evolution of the central temperature (blue, bottom panel), nuclear (red) and neutrino (orange) luminosity (top panel) for a 50 M He core. The inset in the bottom panel shows the readjustment of the core to hydrostatic equilibrium after the first pulse, which we resolve even if this behavior is likely to be influenced by the imposed spherical geometry.

Current usage metrics show cumulative count of Article Views (full-text article views including HTML views, PDF and ePub downloads, according to the available data) and Abstracts Views on Vision4Press platform.

Data correspond to usage on the plateform after 2015. The current usage metrics is available 48-96 hours after online publication and is updated daily on week days.

Initial download of the metrics may take a while.