Free Access
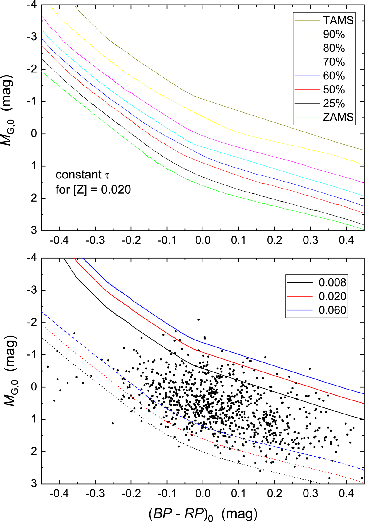
Fig. 12.

Lines of constant fractional ages on the main sequence (τ) for solar metallicity [Z] = 0.020 (upper panel). Lower panel: positions of the ZAMS and TAMS for isochrones with [Z] = 0.008, 0.020, and 0.060. Values have been chosen to cover the main range of [Z] values found for CP2 stars (Fig. 11).
Current usage metrics show cumulative count of Article Views (full-text article views including HTML views, PDF and ePub downloads, according to the available data) and Abstracts Views on Vision4Press platform.
Data correspond to usage on the plateform after 2015. The current usage metrics is available 48-96 hours after online publication and is updated daily on week days.
Initial download of the metrics may take a while.