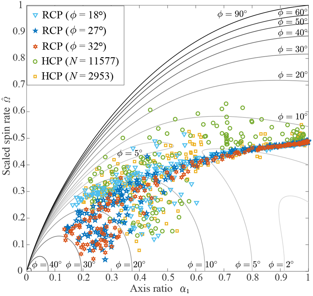
Fig. 11

Scaled spin limits for prolate bodies. The colored symbols are the final stable spin rates of the largest remnants in our tidal encounter simulations using an RCP configuration with three different angles of friction, as well as an HCP configuration with two different resolutions, as a function of the largest remnants’ axis ratios α1. The gray curves are the theoretical spin limits for the indicated angles of friction derived from a static continuum approach using the Drucker-Prager yield criterion (Holsapple 2007). For angles of friction with two curves, the permissible spin rates lie in the region between the two curves.
Current usage metrics show cumulative count of Article Views (full-text article views including HTML views, PDF and ePub downloads, according to the available data) and Abstracts Views on Vision4Press platform.
Data correspond to usage on the plateform after 2015. The current usage metrics is available 48-96 hours after online publication and is updated daily on week days.
Initial download of the metrics may take a while.