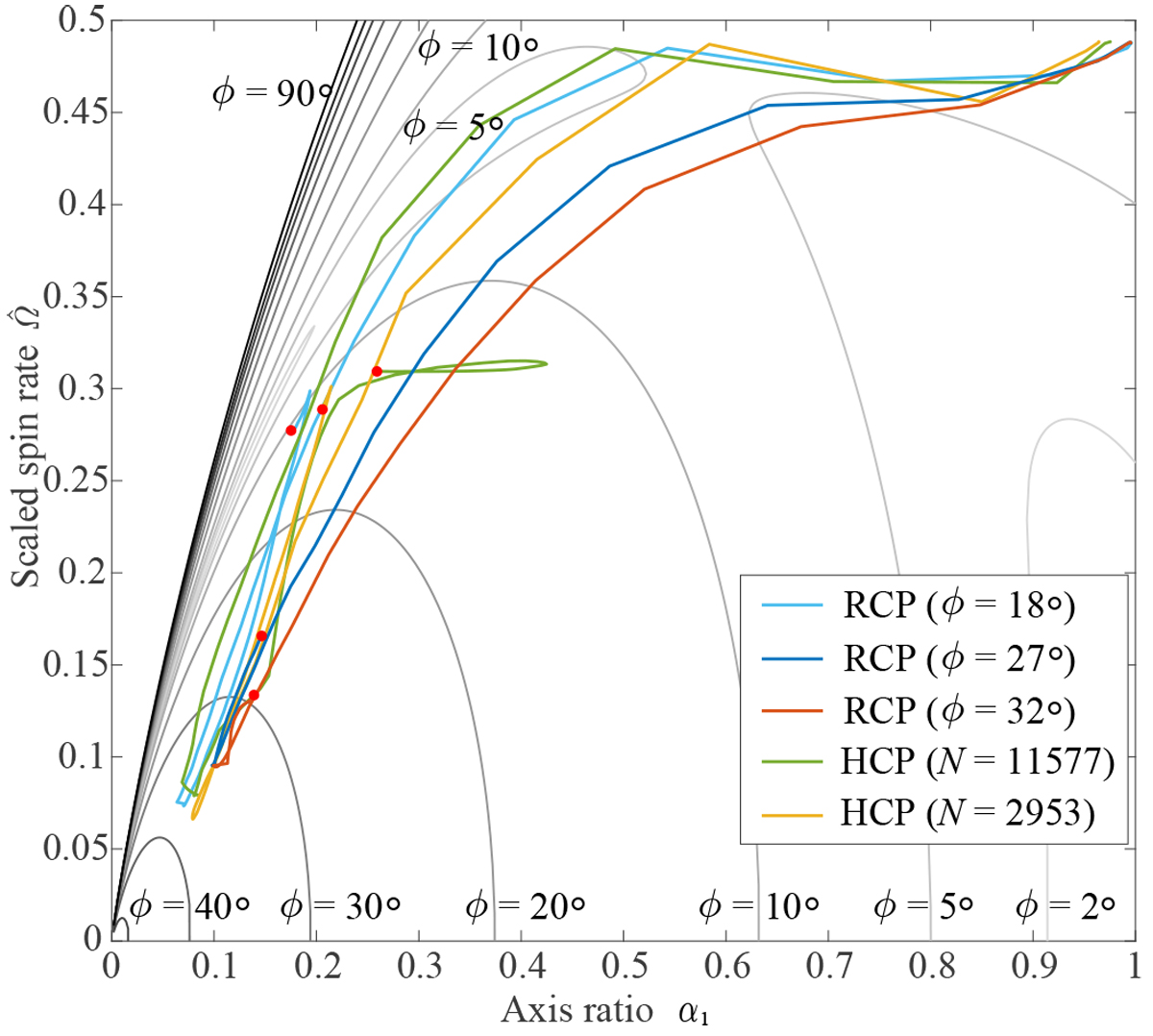
Fig. 12

Dynamical evolution of the scaled spin rate during a tidal encounter with V∞ = 11 km s−1 and q = 1.2 R⊕. The coloredcurves show the dynamical evolution of the scaled spin rates of the largest remnants for the RCP models with three angles of friction and the HCP models with two resolutions, as a function of the rubble pile axis ratio α1. The red dot denotes the final stable state of the largest remnant for every case. The gray curves have the same meanings as in Fig. 11.
Current usage metrics show cumulative count of Article Views (full-text article views including HTML views, PDF and ePub downloads, according to the available data) and Abstracts Views on Vision4Press platform.
Data correspond to usage on the plateform after 2015. The current usage metrics is available 48-96 hours after online publication and is updated daily on week days.
Initial download of the metrics may take a while.