Free Access

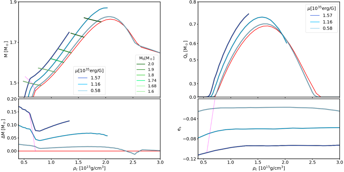
Fig. 15.

image

Models with purely poloidal magnetic field and β0 = −5. Left panel: on top, sequences computed at fixed values of the magnetic dipole moment μ (blue lines) and at fixed baryonic mass (green lines), compared with the un-magnetised case (red line); on bottom, mass difference with respect to the un-magnetised case. Right panel: on top, scalar charge on sequences at fixed μ; on bottom, trace quadrupole es on the same sequences. The dotted magenta lines represent the limit for spontaneous scalarisation.

Current usage metrics show cumulative count of Article Views (full-text article views including HTML views, PDF and ePub downloads, according to the available data) and Abstracts Views on Vision4Press platform.

Data correspond to usage on the plateform after 2015. The current usage metrics is available 48-96 hours after online publication and is updated daily on week days.

Initial download of the metrics may take a while.