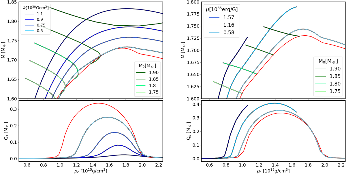
Fig. 16.

Left figure: models with purely toroidal magnetic field and β0 = −4.5. Upper panel: sequences computed at fixed values of the magnetic flux Φ (blue lines) and at fixed baryonic mass (green lines), compared with the un-magnetised case (red line). Bottom panel: value of the scalar charge on the same sequences at fixed Φ. Right figure: models with purely poloidal magnetic field and β0 = −4.5. Upper panel: sequences computed at fixed values of the magnetic dipole moment μ (blue lines) and at fixed baryonic mass (green lines), compared with the un-magnetised case (red line). Bottom panel: value of the scalar charge on the same sequences at fixed μ.
Current usage metrics show cumulative count of Article Views (full-text article views including HTML views, PDF and ePub downloads, according to the available data) and Abstracts Views on Vision4Press platform.
Data correspond to usage on the plateform after 2015. The current usage metrics is available 48-96 hours after online publication and is updated daily on week days.
Initial download of the metrics may take a while.