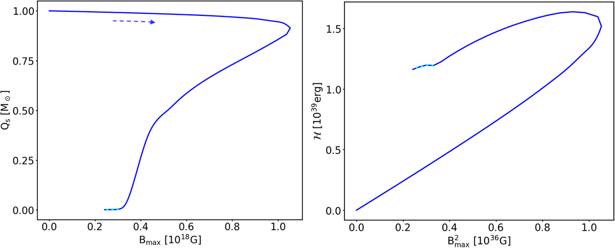
Fig. 5.

Scalar charge Qs, normalised to its value for the un-magnetised model (left panel), and magnetic field energy ℋ (right panel) as functions of Bmax along the equilibrium sequence with constant M0 = 1.68 M⊙ and purely toroidal magnetic field. The cyan dotted line highlights the de-scalarised configurations. The arrows show the direction of increasing magnetisation.
Current usage metrics show cumulative count of Article Views (full-text article views including HTML views, PDF and ePub downloads, according to the available data) and Abstracts Views on Vision4Press platform.
Data correspond to usage on the plateform after 2015. The current usage metrics is available 48-96 hours after online publication and is updated daily on week days.
Initial download of the metrics may take a while.