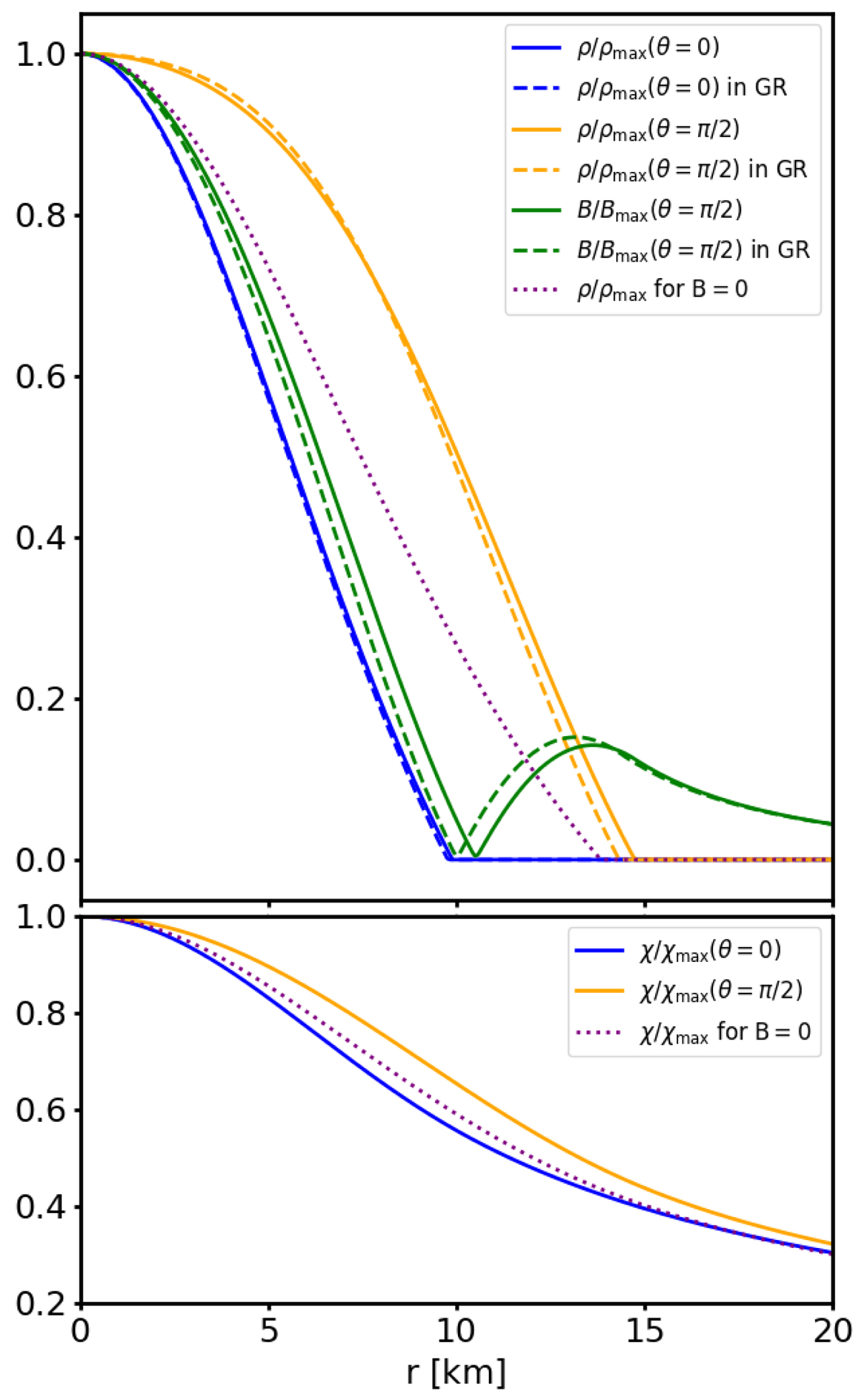
Fig. 9.

Top panel: profile of the polar (solid blue lines) and equatorial (solid orange lines) density, and of the magnetic field strength (solid green lines) at the equator, normalised to their maximum values, for the equilibrium model P (with purely poloidal magnetic field) of Table 2. These are to be compared to the corresponding GR model at the same ρc and Bmax (dashed), and with the density of the scalarised and un-magnetised model at the same ρc, P0 (dotted purple line). Bottom panel: profile of the equatorial (orange line) and polar (blue line) scalar field, normalised to their maximum value, for the equilibrium model P (solid), compared to the un-magnetised model P0 (dotted purple).
Current usage metrics show cumulative count of Article Views (full-text article views including HTML views, PDF and ePub downloads, according to the available data) and Abstracts Views on Vision4Press platform.
Data correspond to usage on the plateform after 2015. The current usage metrics is available 48-96 hours after online publication and is updated daily on week days.
Initial download of the metrics may take a while.