Open Access
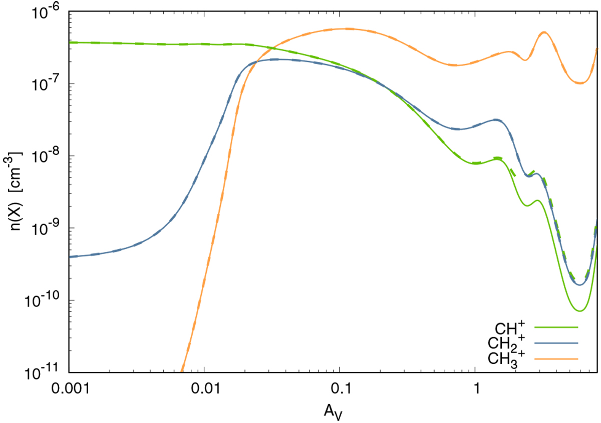
Fig. 2

Density profiles computed with the Meudon PDR code using the old branching ratios (dashed line) and the new branching ratios (solid line). Model parameters correspond to a moderate PDR, nH = 1000 cm−3 and χ = 100 × the ISRF in Mathis units.
Current usage metrics show cumulative count of Article Views (full-text article views including HTML views, PDF and ePub downloads, according to the available data) and Abstracts Views on Vision4Press platform.
Data correspond to usage on the plateform after 2015. The current usage metrics is available 48-96 hours after online publication and is updated daily on week days.
Initial download of the metrics may take a while.