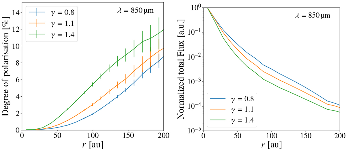
Fig. 3

Left: radial profiles of the degree of polarisation only for the scattered radiationof a protoplanetary disk for different values of the radial density exponent γ. Right: normalised intensity profile of re-emitted plus scattered flux. A higher value of the exponent γ corresponds to a steeper density distribution, and the intensity gradient is larger. The gradient of the intensity profile may serve as a qualitative measure for the anisotropy of the radiation field. Larger gradients lead to a higher degree of anisotropy and thus to a higher degree of polarisation.
Current usage metrics show cumulative count of Article Views (full-text article views including HTML views, PDF and ePub downloads, according to the available data) and Abstracts Views on Vision4Press platform.
Data correspond to usage on the plateform after 2015. The current usage metrics is available 48-96 hours after online publication and is updated daily on week days.
Initial download of the metrics may take a while.