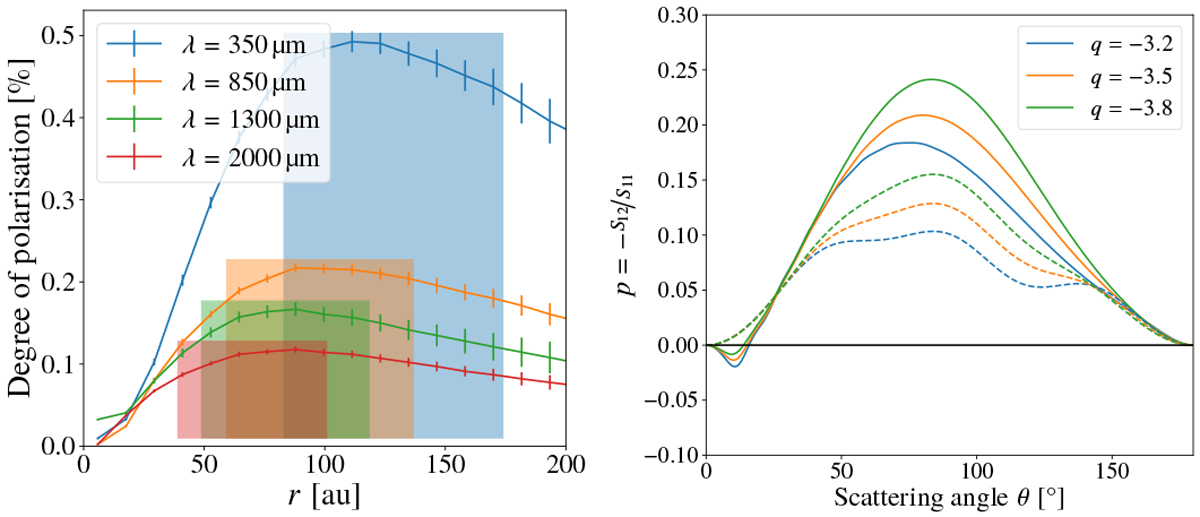
Fig. 4

Left: radial profiles of the degree of polarisation due to scattering of a protoplanetary disk seen face-on for different wavelengths λ (reference model). The intensity includes both direct and scattered thermal radiation. The shaded areas show the radial distance where the optical depth through the disk to the observer is in the range between 0.1 and 0.02. Right: analytical polarisation degree of a single scattering event p = − S12 ∕S11 for the wavelengths λ = 350 μm (solid lines) and λ = 2 mm (dashed lines), averaged over the entire grain size range from 5 nm to 1 mm for different values of the exponent q of the grain size distribution.
Current usage metrics show cumulative count of Article Views (full-text article views including HTML views, PDF and ePub downloads, according to the available data) and Abstracts Views on Vision4Press platform.
Data correspond to usage on the plateform after 2015. The current usage metrics is available 48-96 hours after online publication and is updated daily on week days.
Initial download of the metrics may take a while.