Free Access
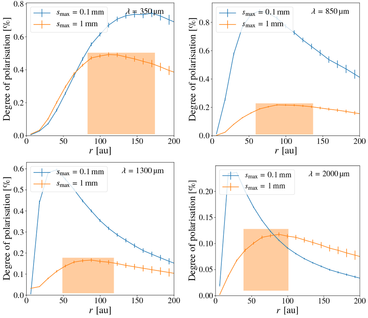
Fig. 7

Radial profile of the degree of polarisation for different upper grain size limits. The shaded areas coincide with the radial distance of the transition from optically thick to optically thin. For details, see Fig. 4. For amax = 0.1 mm, the minimum optical depth is about 0.9 at the wavelength λ = 2 mm.
Current usage metrics show cumulative count of Article Views (full-text article views including HTML views, PDF and ePub downloads, according to the available data) and Abstracts Views on Vision4Press platform.
Data correspond to usage on the plateform after 2015. The current usage metrics is available 48-96 hours after online publication and is updated daily on week days.
Initial download of the metrics may take a while.