Free Access

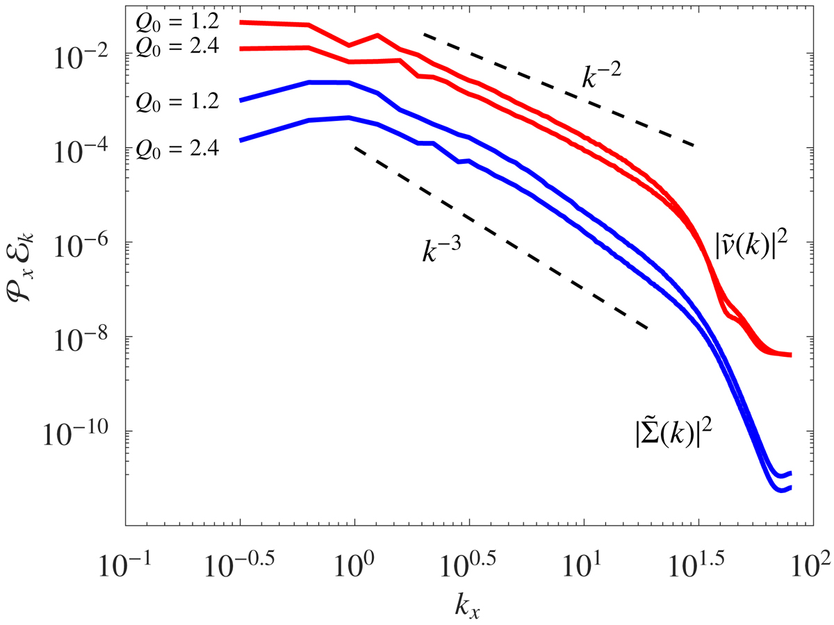
Fig. 8.

image

Projections 𝒫x of the two-dimensional power spectra onto the kx-axis for and respectively. Each of the latter is shown for Q0 ∈ {1.2,  2.4}. Furthermore, the scaling laws k−2 and k−3 are shown for comparison.

Current usage metrics show cumulative count of Article Views (full-text article views including HTML views, PDF and ePub downloads, according to the available data) and Abstracts Views on Vision4Press platform.

Data correspond to usage on the plateform after 2015. The current usage metrics is available 48-96 hours after online publication and is updated daily on week days.

Initial download of the metrics may take a while.