Free Access

Fig. 9.

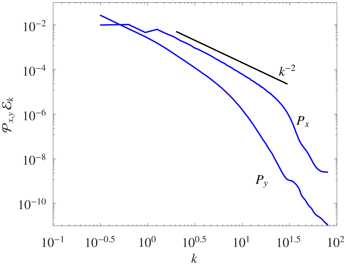
image

Projections 𝒫x and 𝒫y of the kinetic energy per mass power spectrum onto the kx and ky-axis respectively. As can be observed, the 𝒫y-projection drops significantly faster than the 𝒫x-projection. The spectra are shown for Q0 = 2.0.

Current usage metrics show cumulative count of Article Views (full-text article views including HTML views, PDF and ePub downloads, according to the available data) and Abstracts Views on Vision4Press platform.

Data correspond to usage on the plateform after 2015. The current usage metrics is available 48-96 hours after online publication and is updated daily on week days.

Initial download of the metrics may take a while.