Free Access
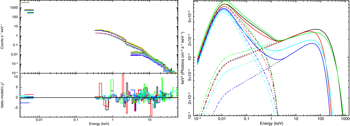
Fig. 9.

Left panel: optical-UV to hard X-rays fitted with the two-corona model (χ2 = 1690 for 1567 d.o.f.). Right panel: underlying best fit model is shown by the solid lines, while dashed ones account for the contribution of each of the two coronae.
Current usage metrics show cumulative count of Article Views (full-text article views including HTML views, PDF and ePub downloads, according to the available data) and Abstracts Views on Vision4Press platform.
Data correspond to usage on the plateform after 2015. The current usage metrics is available 48-96 hours after online publication and is updated daily on week days.
Initial download of the metrics may take a while.