Free Access
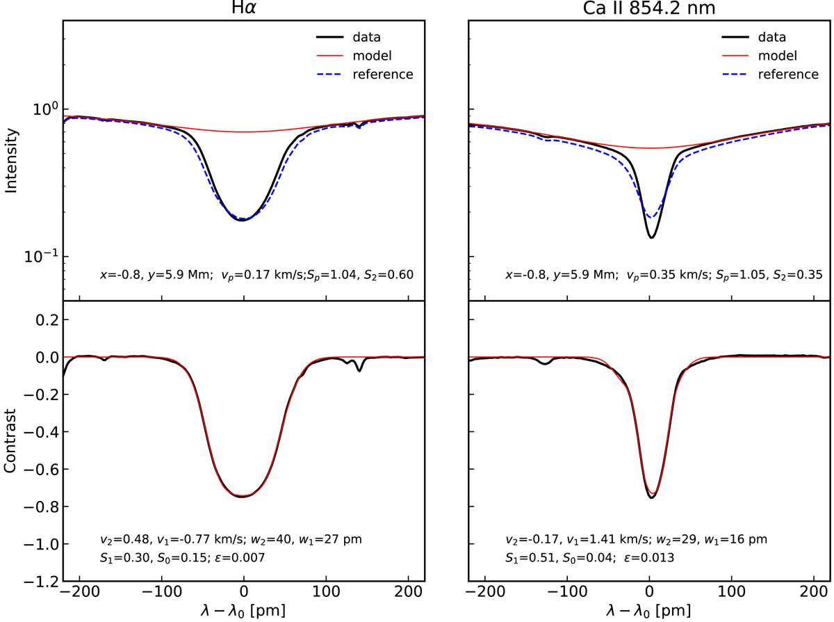
Fig. 3.

Three-layer model fitting of the line profiles taken from an intranetwork feature marked by the cross in Fig. 2. The reference profile is the average of all the profiles over the observed region.
Current usage metrics show cumulative count of Article Views (full-text article views including HTML views, PDF and ePub downloads, according to the available data) and Abstracts Views on Vision4Press platform.
Data correspond to usage on the plateform after 2015. The current usage metrics is available 48-96 hours after online publication and is updated daily on week days.
Initial download of the metrics may take a while.