Free Access
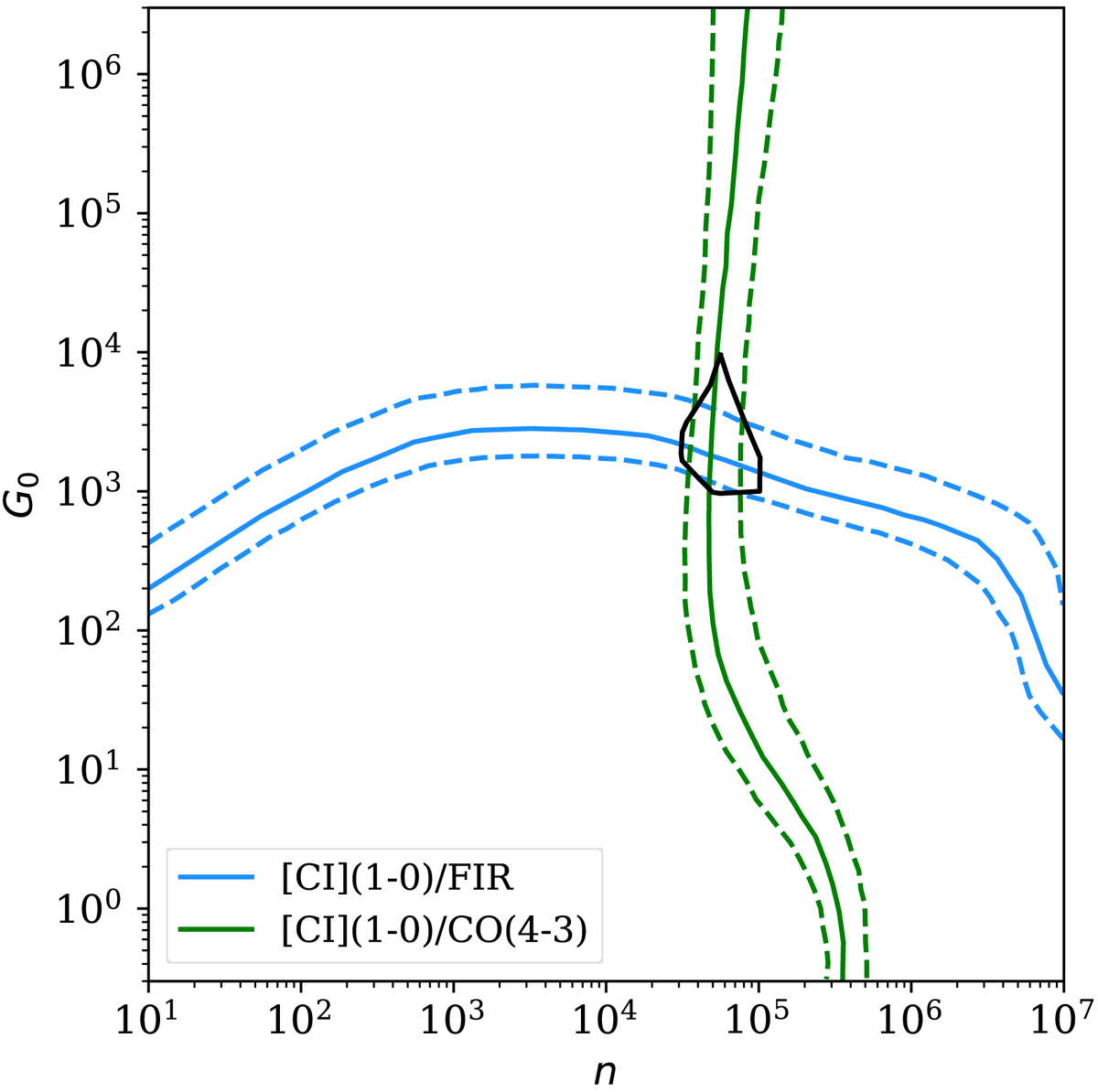
Fig. 6.

Green and blue contours: L[CI](1−0)/LCO(4−3) and L[CI](1−0)/LFIR of ADF22.A2 on the gas density (n) and radiation field (G0) plane from the PDR model of Kaufman et al. (1999) and Kaufman et al. (2006). The black contour corresponds to the 68% confidence levels.
Current usage metrics show cumulative count of Article Views (full-text article views including HTML views, PDF and ePub downloads, according to the available data) and Abstracts Views on Vision4Press platform.
Data correspond to usage on the plateform after 2015. The current usage metrics is available 48-96 hours after online publication and is updated daily on week days.
Initial download of the metrics may take a while.