Open Access
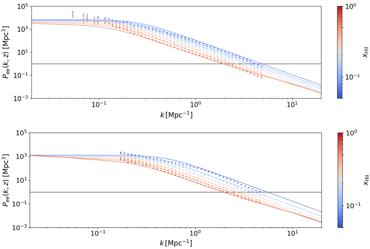
Fig. B.1.

Result of fitting Eq. (13) to the spectra of the 21CMFAST run for Mturn = 109 M⊙ (upper panel) and of rsage fej (lower panel). The error bars correspond to the 68% confidence level on the spectra of 20 realisations of the same 21CMFAST run.
Current usage metrics show cumulative count of Article Views (full-text article views including HTML views, PDF and ePub downloads, according to the available data) and Abstracts Views on Vision4Press platform.
Data correspond to usage on the plateform after 2015. The current usage metrics is available 48-96 hours after online publication and is updated daily on week days.
Initial download of the metrics may take a while.