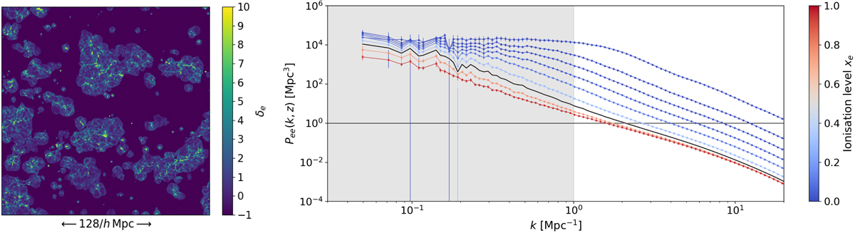
Fig. 2.

Left panel: snapshot of the electron density contrast field for the first of the six simulations, at z = 7.2 and xe = 0.49. Right panel: free electrons power spectrum of the same simulation at fixed redshifts (fixed ionised levels). The shaded area corresponds to scales contributing the most (see Sect. 3.2) and the solid black line to the field shown in the left panel.
Current usage metrics show cumulative count of Article Views (full-text article views including HTML views, PDF and ePub downloads, according to the available data) and Abstracts Views on Vision4Press platform.
Data correspond to usage on the plateform after 2015. The current usage metrics is available 48-96 hours after online publication and is updated daily on week days.
Initial download of the metrics may take a while.