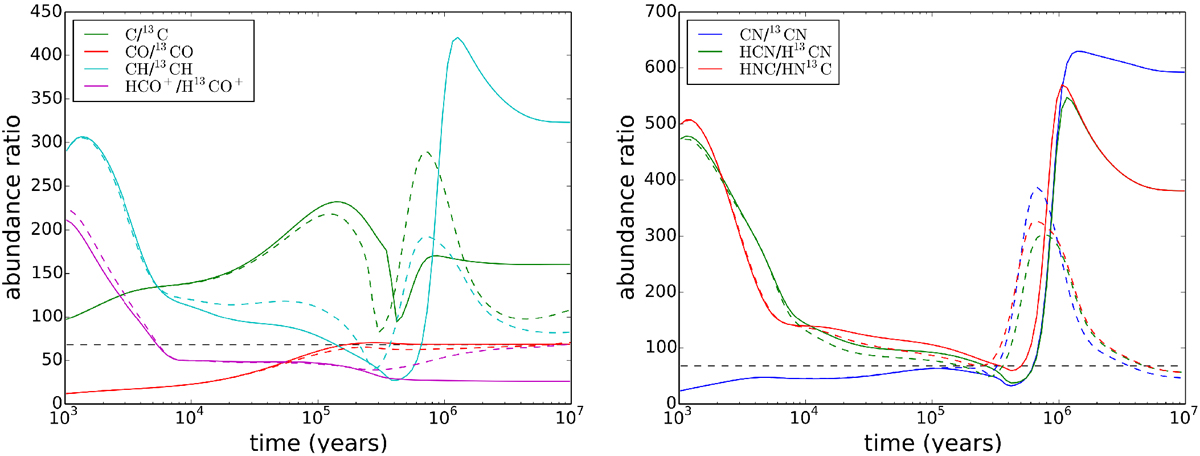
Fig. 2

Time evolution of the 12C/13C ratio for C, CO, CH, and HCO+ (left panel), and for CN, HCN, and HNC (right panel) for the fiducial model with only gas-phase chemistry at work (solid lines) and with both gas-phase and grain-surface chemistry at work (dashed lines). In both panels, the black horizontal dashed line represents the initial 12C/13C ratio of 68.
Current usage metrics show cumulative count of Article Views (full-text article views including HTML views, PDF and ePub downloads, according to the available data) and Abstracts Views on Vision4Press platform.
Data correspond to usage on the plateform after 2015. The current usage metrics is available 48-96 hours after online publication and is updated daily on week days.
Initial download of the metrics may take a while.