Open Access
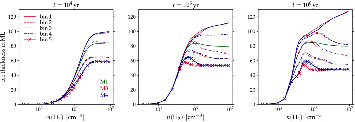
Fig. B.1

Ice thickness in monolayers (MLs) as a function of density in L1544 at three different times. The green, red, and blue lines correspond to models M1, M3, and M4, respectively. The grain size increases with bin label.
Current usage metrics show cumulative count of Article Views (full-text article views including HTML views, PDF and ePub downloads, according to the available data) and Abstracts Views on Vision4Press platform.
Data correspond to usage on the plateform after 2015. The current usage metrics is available 48-96 hours after online publication and is updated daily on week days.
Initial download of the metrics may take a while.