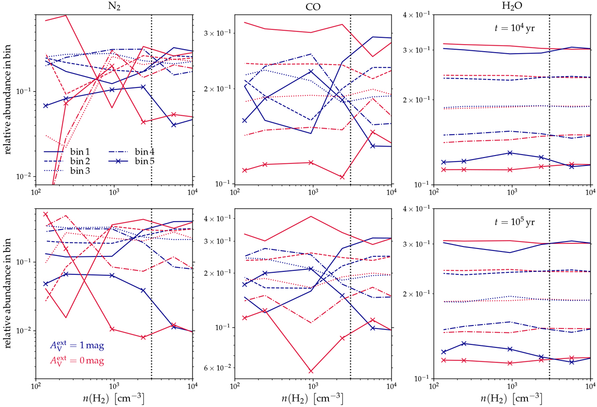
Fig. 9

Relative abundances in each grain size bin as functions of density in the L1544 model at t = 104 yr (top) and at t = 105 yr (bottom) for model M4. The blue lines correspond to , while the redlines correspond to
. The effective grain radius increases with bin label. The x-axis range differs from that in Fig. 6. The dotted black line indicates the approximate position of the turnover point of the dust temperatures (Fig. 8).
Current usage metrics show cumulative count of Article Views (full-text article views including HTML views, PDF and ePub downloads, according to the available data) and Abstracts Views on Vision4Press platform.
Data correspond to usage on the plateform after 2015. The current usage metrics is available 48-96 hours after online publication and is updated daily on week days.
Initial download of the metrics may take a while.