Free Access

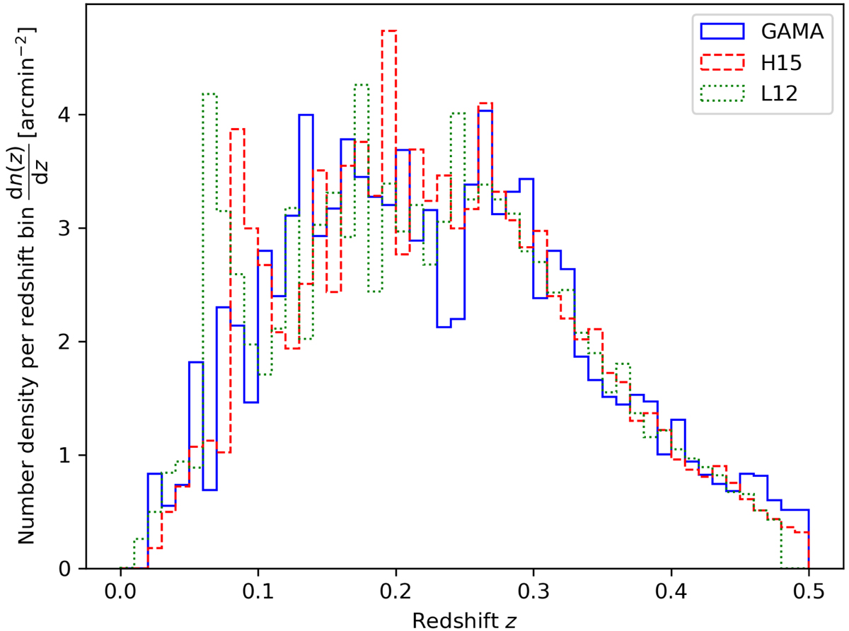
Fig. 2.

image

Number density per redshift bin of GAMA (solid blue) H15 galaxies (dashed red), and L12 galaxies (dotted green) for the limiting magnitude of r <  19.8. The bin size is Δz = 0.01.

Current usage metrics show cumulative count of Article Views (full-text article views including HTML views, PDF and ePub downloads, according to the available data) and Abstracts Views on Vision4Press platform.

Data correspond to usage on the plateform after 2015. The current usage metrics is available 48-96 hours after online publication and is updated daily on week days.

Initial download of the metrics may take a while.