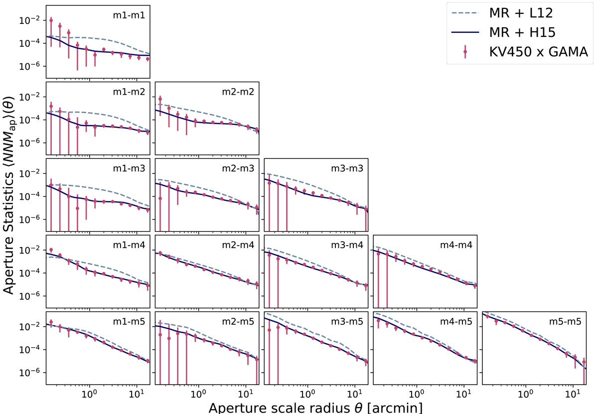
Fig. A.2.

Angular aperture statistics for stellar mass-selected lens samples in the MR with the H15 SAM (solid blue lines), the L12 SAM (dashed grey lines), and in GAMA with KV450 sources (pink points), using the mass bins defined in Table 1. Plots on the diagonal show the signal for unmixed lens pairs, while the other plots show the signal for mixed lens pairs. Error bars are the standard deviation from jackknife resampling.
Current usage metrics show cumulative count of Article Views (full-text article views including HTML views, PDF and ePub downloads, according to the available data) and Abstracts Views on Vision4Press platform.
Data correspond to usage on the plateform after 2015. The current usage metrics is available 48-96 hours after online publication and is updated daily on week days.
Initial download of the metrics may take a while.