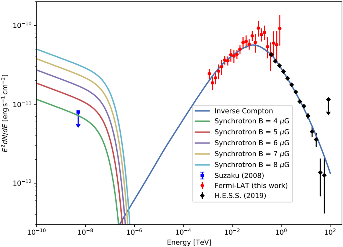
Fig. 7.

Results of the fitted IC NAIMA SED to the Fermi-LAT data and H.E.S.S. data, compared with the measured Fermi-LAT (red circle) and H.E.S.S. (black diamond) data points. A synchrotron component is computed from the electron distribution supposing 4, 5, 6, 7, and 8 μG, and compared with Suzaku data (blue square). The electron distribution parameters are presented in Table 5.
Current usage metrics show cumulative count of Article Views (full-text article views including HTML views, PDF and ePub downloads, according to the available data) and Abstracts Views on Vision4Press platform.
Data correspond to usage on the plateform after 2015. The current usage metrics is available 48-96 hours after online publication and is updated daily on week days.
Initial download of the metrics may take a while.